留言板

尊敬的读者、作者、审稿人, 关于本刊的投稿、审稿、编辑和出版的任何问题, 您可以本页添加留言。我们将尽快给您答复。谢谢您的支持!

姓名
邮箱
手机号码
标题
留言内容
验证码

沉积微相控制下的储层孔洞缝定量化发育特征分析——以四川盆地蓬莱气区震旦系灯影组白云岩为例

周刚 文龙 刘勇 罗冰 张本健 李琦 严威 钟原 张自力 曾云贤 李堃宇

周刚, 文龙, 刘勇, 罗冰, 张本健, 李琦, 严威, 钟原, 张自力, 曾云贤, 李堃宇. 沉积微相控制下的储层孔洞缝定量化发育特征分析——以四川盆地蓬莱气区震旦系灯影组白云岩为例[J]. 石油实验地质, 2025, 47(5): 951-962. doi: 10.11781/sysydz2025050951
引用本文: 周刚, 文龙, 刘勇, 罗冰, 张本健, 李琦, 严威, 钟原, 张自力, 曾云贤, 李堃宇. 沉积微相控制下的储层孔洞缝定量化发育特征分析——以四川盆地蓬莱气区震旦系灯影组白云岩为例[J]. 石油实验地质, 2025, 47(5): 951-962. doi: 10.11781/sysydz2025050951
ZHOU Gang, WEN Long, LIU Yong, LUO Bing, ZHANG Benjian, LI Qi, YAN Wei, ZHONG Yuan, ZHANG Zili, ZENG Yunxian, LI Kunyu. Quantitative analysis of development characteristics of pores, caves, and fractures in reservoirs controlled by sedimentary microfacies: a case study of dolomites in Sinian Dengying Formation, Penglai gas area, Sichuan Basin[J]. PETROLEUM GEOLOGY & EXPERIMENT, 2025, 47(5): 951-962. doi: 10.11781/sysydz2025050951
Citation: ZHOU Gang, WEN Long, LIU Yong, LUO Bing, ZHANG Benjian, LI Qi, YAN Wei, ZHONG Yuan, ZHANG Zili, ZENG Yunxian, LI Kunyu. Quantitative analysis of development characteristics of pores, caves, and fractures in reservoirs controlled by sedimentary microfacies: a case study of dolomites in Sinian Dengying Formation, Penglai gas area, Sichuan Basin[J]. PETROLEUM GEOLOGY & EXPERIMENT, 2025, 47(5): 951-962. doi: 10.11781/sysydz2025050951

沉积微相控制下的储层孔洞缝定量化发育特征分析——以四川盆地蓬莱气区震旦系灯影组白云岩为例

doi: 10.11781/sysydz2025050951
基金项目: 

中国石油天然气股份有限公司科学研究与技术开发项目 2021DJ0501

详细信息
    作者简介:

    周刚(1984—),男,博士,高级工程师,主要从事油气勘探开发生产管理及研究工作。E-mail: zhougang@petrochina.com.cn

    通讯作者:

    刘勇(1985—),男,博士,从事碳酸盐岩综合研究及勘探开发研究。E-mail: liuyongliuyong17@163.com

  • 中图分类号: TE122.22

Quantitative analysis of development characteristics of pores, caves, and fractures in reservoirs controlled by sedimentary microfacies: a case study of dolomites in Sinian Dengying Formation, Penglai gas area, Sichuan Basin

  • 摘要: 针对四川盆地蓬莱气区震旦系灯影组白云岩储层沉积微相类型与物性关系不明确的问题,旨在精确描述其储层孔隙结构特征及其与沉积微相的对应关系,本研究选取川中古隆起蓬莱气区震旦系灯影组二段碳酸盐岩储层为研究对象,基于钻井取心资料,综合运用岩石薄片、铸体薄片、成像测井等分析手段,系统划分研究区沉积微相类型;利用岩心高清滚扫技术,对全取心段进行孔、洞、缝级别的划分与定量统计。蓬莱气区震旦系灯影组二段主要发育丘核、丘翼、丘坪、丘基、丘盖、静水云泥等6种沉积微相,不同类型的沉积微相具有不同的岩性组合及成像测井特征。研究区储集空间按大小和流体运移性能差异划分为晶间孔、晶间溶孔、小尺度孔隙型溶洞、中尺度孔隙型溶洞、大尺度裂缝型溶洞、构造缝和溶蚀缝共7类,其中晶间孔、晶间溶孔数量占优但面积占比小,中、大型溶洞对储集空间的贡献更显著。沉积微相对储层发育具有明显的控制作用,依据孔、洞、缝发育程度及其与裂缝发育规模的匹配性,将研究区储层划分为以丘核、丘翼为代表的高孔—高渗储层、以丘坪—静水云泥为代表的高孔—低渗储层和以丘基、丘盖为代表的低孔—低渗储层等3类。

     

  • 图  1  四川盆地蓬莱气区震旦系灯影组沉积微相分布(a)及地层综合柱状图(b)

    Figure  1.  Sedimentary microfacies distribution (a), and comprehensive stratigraphic column (b) of Sinian Dengying Formation, Penglai gas area, Sichuan Basin

    图  2  四川盆地蓬莱气区震旦系灯影组岩心滚扫人工识别及定量化分析方法

    a.蓬探101井,灯二段,5 777.87~5 777.98 m,岩心滚扫图像;b.蓬探101井,灯二段,5 777.87~5 777.98 m,岩心孔隙结构发育情况素描图;c.基于岩心滚扫资料开展定量化分析流程图。

    Figure  2.  Rotating-drum core scanning and manual identification, and quantitative analysis methods for Sinian Dengying Formation in Penglai gas area, Sichuan Basin

    图  3  四川盆地蓬莱气区震旦系灯影组微生物(藻)丘与丘滩间亚相沉积特征

    a.丘核微相;b.丘翼微相;c.丘坪微相;d.丘基微相;e.丘盖微相;f.静水云泥微相。

    Figure  3.  Sedimentary characteristics of microbial (algal) mound and inter-mound and shoal subfacies in Sinian Dengying Formation, Penglai gas area, Sichuan Basin

    图  4  四川盆地蓬莱气区震旦系灯影组蓬探101井取心段各岩石类型(a)与沉积微相厚度占比(b)

    Figure  4.  Proportion of each rock type (a) and sedimentary microfacies thickness (b) in core section from well Pengtan-101 in Sinian Dengying Formation, Penglai gas area, Sichuan Basin

    图  5  四川盆地蓬莱气区震旦系灯影组蓬探101井取心段孔、洞、缝数量统计

    Figure  5.  Quantitative statistics of pores, caves, and fractures in core section of well Pengtan-101 in Sinian Dengying Formation, Penglai gas area, Sichuan Basin

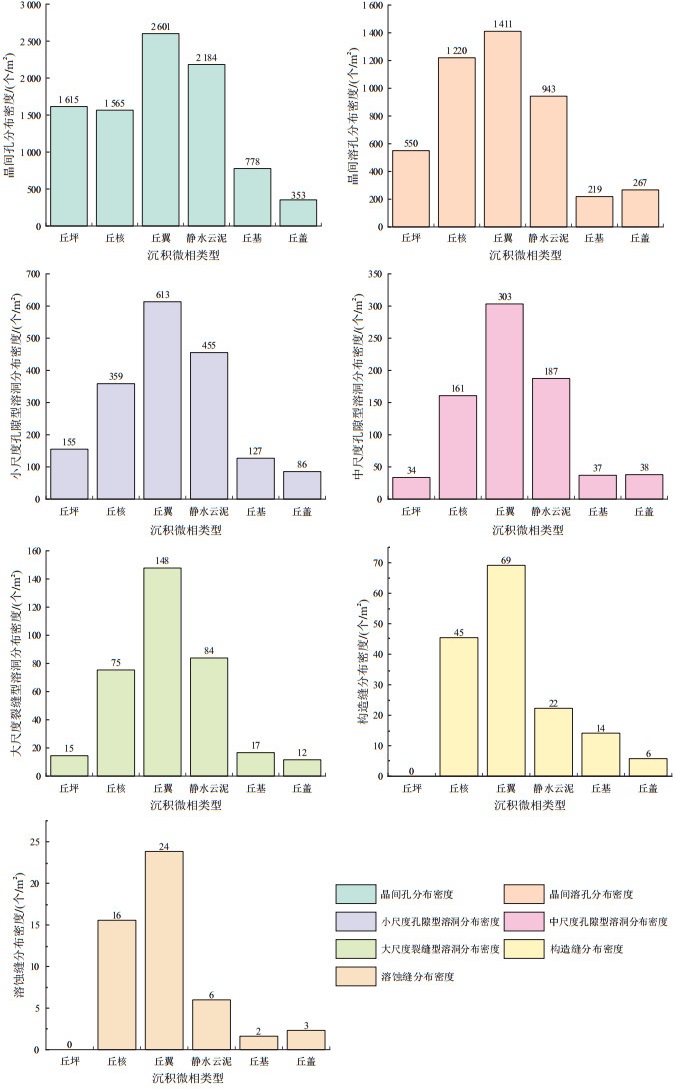
    图  6  四川盆地蓬莱气区震旦系灯影组蓬探101井取心段各沉积微相中不同类型孔、洞、缝分布密度

    Figure  6.  Distribution desity of different types of pores, caves, and fractures in different sedimentary microfacies of core section from well Pengtan-101 in Sinian Dengying Formation, Penglai gas area, Sichuan Basin

    图  7  四川盆地蓬莱气区震旦系灯影组蓬探101井取心段各沉积微相储集特征

    a.各沉积微相储集空间面积占比;b.各沉积微相不同类型储集空间绝对面积与数量分布。N表示孔、洞、缝的数量。

    Figure  7.  Reservoir characteristics of sedimentary microfacies in core section from well Pengtan-101 in Sinian Dengying Formation, Penglai gas area, Sichuan Basin

    表  1  四川盆地及周缘地区震旦系灯影组白云岩台地边缘相特征及划分

    Table  1.   Characteristics and classification of platform marginal facies of dolomites in Sinian Dengying Formation of Sichuan Basin and peripheral areas

    亚相 微相 典型岩石组合 纵向组合 沉积构造 颜色 常规测井 成像测井
    微生物丘 丘盖 泥晶白云岩 微生物丘亚相顶部 水平层理 灰色   中—高伽马、高电阻率、AC-CNL镜像特征明显、三孔隙度曲线(密度、声速、补偿中子)显示孔隙发育差 亮黄色层状
    丘坪 微生物(藻) 纹层白云岩 丘核/丘基微相之上 鸟眼、帐篷、干裂 灰色—灰白色   高伽马、高电阻率、AC平直、CNL低值、三孔隙度曲线显示孔隙发育差 亮黄色块状
    丘核 叠层石白云岩、凝块石白云岩 丘基微相之上 波状、半球状叠层 灰色   低伽马、中—低电阻率、三孔隙度曲线显示孔隙发育好 凝块:暗斑大小不一;叠层:暗色不规则层状
    丘翼 砾屑白云岩 微生物丘亚相其他微相之上 粒序层理、冲刷面 灰色   中—低伽马、中—低电阻率、三孔隙度曲线显示孔隙发育好 棕—黄色,暗斑大小均匀
    丘基 砂屑白云岩、泥晶白云岩、鲕粒白云岩互层 微生物丘亚相 平行层理、斜层理 灰色—深灰色   中—低伽马、中—低电阻率、三孔隙度曲线显示孔隙发育中等 棕—黄色,暗斑大小均匀
    丘滩间洼地 静水云泥 泥晶白云岩、泥质白云岩 与微生物丘、浅滩亚相交替 水平层理 灰色—深灰色   高伽马、低电阻率、三孔隙度曲线显示孔隙发育中等 黑色层状、块状
    浅滩 鲕滩 鲕粒白云岩 与丘滩间海、微生物丘交替 平行层理、斜层理 灰色—灰白色   中—低伽马、中电阻率、三孔隙度曲线显示孔隙发育中等 棕—黄色,暗斑大小均匀
    砂屑滩 砂屑白云岩 与丘滩间海、微生物丘交替 平行层理、斜层理、冲刷面 灰色—灰白色   中—低伽马、中电阻率、三孔隙度曲线显示孔隙发育差 棕—黄色,暗斑大小均匀
    下载: 导出CSV

    表  2  四川盆地蓬莱气区震旦系灯影组储层储集空间类型划分标准

    Table  2.   Classification standards for storage space types of reservoirs in Sinian Dengying Formation of Penglai gas area, Sichuan Basin

    类型 特征 成因及特征 主控因素
    晶间孔 直径0.01~0.1 mm   同生—准同生成岩阶段,由于白云石化、重结晶等作用,晶体体积增大,晶间孔隙空间增加 白云石化、重结晶
    晶间溶孔 直径0.1~2 mm   晶间孔在溶蚀作用下,孔径扩大,形成晶间溶孔。一般呈椭圆状,可见港湾状溶蚀边界 溶蚀
    小尺度孔隙型溶洞 直径2~5 mm   在孔隙基础上进一步溶蚀扩大形成 溶蚀
    中尺度孔隙型溶洞 直径5~10 mm   溶蚀作用进一步加强,洞径进一步扩大到5~10 mm,主要分布于晶粒较粗的白云岩中。多为不规则椭圆状,局部成蜂窝状、斑点状,连通性较好,部分中尺度孔隙型溶洞被白云石结晶或沥青充填或半充填 溶蚀
    大尺度裂缝型溶洞 直径>10 mm   在强烈溶蚀作用下,洞径继续扩大,达10 mm以上,甚至可达20~ 50 mm洞径,形成大尺度裂缝型溶洞。大尺度裂缝型溶洞一般位于裂缝两侧或附近,可见白云石结晶充填或半充填 溶蚀
    构造缝 张开度一般<50 μm (借助显微镜、CT扫描等手段进行放大后观察和描述的裂缝)   多由构造破裂作用形成。裂缝面平直,部分呈丝状分布,以中—高角度为主 构造应力
    溶蚀缝 张开度一般>50 μm (岩心、露头及测井响应特征上直接观察和描述的裂缝)   受溶蚀作用主控,溶蚀作用使裂缝宽度增大,部分溶蚀缝内部充填白云石胶结物或沥青 构造溶蚀
    下载: 导出CSV
  • [1] 强子同. 碳酸盐岩储层地质学[M]. 东营: 石油大学出版社, 1998: 17-23.

    QIANG Zitong. Carbonate reservoir geology[M]. Dongying: China University of Petroleum Press, 1998: 17-23.
    [2] 罗雷, 洪天求, 殷延端, 等. 川东北地区晚二叠世碳酸盐岩成岩作用[J]. 合肥工业大学学报(自然科学版), 2017, 40(1): 101-109.

    LUO Lei, HONG Tianqiu, YIN Yanduan, et al. Diagenesis of Late Permian carbonates in northeastern Sichuan[J]. Journal of Hefei University of Technology(Natural Science), 2017, 40(1): 101-109.
    [3] 徐哲航. 四川盆地震旦系灯影组微生物岩储层形成机理与主控因素[D]. 北京: 中国石油大学, 2023.

    XU Zhehang. Formation-mechanism and controlling factors of the microbialite-dominated reservoir in the Ediacaran Dengying Formation of the Sichuan Basin[D]. Beijing: China University of Petroleum, 2023.
    [4] 林煜, 李相文, 陈康, 等. 深层海相碳酸盐岩储层地震预测关键技术与效果: 以四川盆地震旦系—寒武系与塔里木盆地奥陶系油气藏为例[J]. 石油与天然气地质, 2021, 42(3): 717-727.

    LIN Yu, LI Xiangwen, CHEN Kang, et al. Key seismic techniques for predicting deep marine carbonate reservoirs and the effect analysis: a case study on the Sinian-Cambrian reservoirs in the Sichuan Basin and the Ordovician reservoirs in the Tarim Basin[J]. Oil & Gas Geology, 2021, 42(3): 717-727.
    [5] 张宇航, 时保宏, 张曰静, 等. 机器学习方法在浅层滩坝相薄储层孔隙度预测中的应用: 以准噶尔盆地车排子地区白垩系为例[J]. 沉积学报, 2023, 41(5): 1559-1567.

    ZHANG Yuhang, SHI Baohong, ZHANG Yuejing, et al. Application of machine learning for porosity estimation of beach and bar sand bodies in a Lacustrine Basin: a case study of the Lower Cretaceous strata in Chepaizi area, Junggar Basin, NW China[J]. Acta Sedimentologica Sinica, 2023, 41(5): 1559-1567.
    [6] 曹渊, 牛冠毅, 王铁良, 等. 基于原位渗透率试验反演岩石孔隙度的新方法[J]. 岩土力学, 2017, 38(1): 272-276.

    CAO Yuan, NIU Guanyi, WANG Tieliang, et al. A new method for rock porosity inversion based on in-situ permeability test[J]. Rock and Soil Mechanics, 2017, 38(1): 272-276.
    [7] 姚军, 刘磊, 杨永飞, 等. 基于多实验成像和机器学习的页岩多尺度孔隙结构表征新方法[J]. 天然气工业, 2023, 43(1): 36-46.

    YAO Jun, LIU Lei, YANG Yongfei, et al. A new method for characterizing multi-scale shale pore structure based on multi-experimental imaging and machine learning[J]. Natural Gas Industry, 2023, 43(1): 36-46.
    [8] 刘学锋, 张晓伟, 曾鑫, 等. 采用机器学习分割算法和扫描电镜分析页岩微观孔隙结构[J]. 中国石油大学学报(自然科学版), 2022, 46(1): 23-33.

    LIU Xuefeng, ZHANG Xiaowei, ZENG Xin, et al. Pore structure characterization of shales using SEM and machine learning-based segmentation method[J]. Journal of China University of Petroleum(Edition of Natural Science), 2022, 46(1): 23-33.
    [9] 周科平, 李杰林, 许玉娟, 等. 基于核磁共振技术的岩石孔隙结构特征测定[J]. 中南大学学报(自然科学版), 2012, 43(12): 4796-4800.

    ZHOU Keping, LI Jielin, XU Yujuan, et al. Measurement of rock pore structure based on NMR technology[J]. Journal of Central South University (Science and Technology), 2012, 43(12): 4796-4800.
    [10] 王超, 王川婴, 王益腾, 等. 基于孔壁光学图像的岩石孔隙结构识别与分析方法研究[J]. 岩石力学与工程学报, 2021, 40(9): 1894-1901.

    WANG Chao, WANG Chuanying, WANG Yiteng, et al. Research on identification and analysis method of rock pore structure based on optical images of borehole walls[J]. Chinese Journal of Rock Mechanics and Engineering, 2021, 40(9): 1894-1901.
    [11] 杨雨, 文龙, 宋泽章, 等. 川中古隆起北部蓬莱气区多层系天然气勘探突破与潜力[J]. 石油学报, 2022, 43(10): 1351-1368.

    YANG Yu, WEN Long, SONG Zezhang, et al. Breakthrough and potential of natural gas exploration in multi-layer system of Penglai gas area in the north of central Sichuan Paleo uplift[J]. Acta Petrolei Sinica, 2022, 43(10): 1351-1368.
    [12] 段金宝, 代林呈, 李毕松, 等. 四川盆地北部上震旦统灯影组四段储层特征及其控制因素[J]. 天然气工业, 2019, 39(7): 9-20.

    DUAN Jinbao, DAI Lincheng, LI Bisong, et al. Reservoir characteristics and their controlling factors of the fourth member of Upper Sinian Dengying Fm in the northern Sichuan Basin[J]. Natural Gas Industry, 2019, 39(7): 9-20.
    [13] HU Mingyi, GAO Da, WEI Guoqi, et al. Sequence stratigraphy and facies architecture of a mound-shoal-dominated dolomite reservoir in the Late Ediacaran Dengying Formation, central Sichuan Basin, SW China[J]. Geological Journal, 2019, 54(3): 1653-1671. doi: 10.1002/gj.3261
    [14] 魏国齐, 刘德来, 张林, 等. 四川盆地天然气分布规律与有利勘探领域[J]. 天然气地球科学, 2005, 16(4): 437-442.

    WEI Guoqi, LIU Delai, ZHANG Lin, et al. The exploration region and natural gas accmulation in Sichuan Basin[J]. Natural Gas Geoscience, 2005, 16(4): 437-442.
    [15] 徐春春, 沈平, 杨跃明, 等. 四川盆地川中古隆起震旦系—下古生界天然气勘探新认识及勘探潜力[J]. 天然气工业, 2020, 40(7): 1-9.

    XU Chunchun, SHEN Ping, YANG Yueming, et al. New understandings and potential of Sinian–Lower Paleozoic natural gas exploration in the Central Sichuan Paleo-uplift of the Sichuan Basin[J]. Natural Gas INdustry, 2020, 40(7): 1-9.
    [16] 杨毅, 朱祥, 张雷, 等. 四川盆地北部灯影组四段台内地区油气来源及成藏过程[J]. 石油实验地质, 2025, 47(2): 384-394.

    YANG Yi, ZHU Xiang, ZHANG Lei, et al. Hydrocarbon sources and accumulation processes in intra-platform of the fourth member of Dengying Formation in northern Sichuan Basin[J]. Petroleum Geology & Experiment, 2025, 47(2): 384-394.
    [17] 罗冰, 周刚, 罗文军, 等. 川中古隆起下古生界—震旦系勘探发现与天然气富集规律[J]. 中国石油勘探, 2015, 20(2): 18-29.

    LUO Bing, ZHOU Gang, LUO Wenjun, et al. Discovery from exploration of Lower Paleozoic-Sinian System in Central Sichuan Palaeo-uplift and its natural gas abundance law[J]. China Petroleum Exploration, 2015, 20(2): 18-29.
    [18] 杜金虎. 古老碳酸盐岩大气田地质理论与勘探实践[M]. 北京: 石油工业出版社, 2015.

    DU J H. Geologic theory and exploration practice of ancient large carbonates gas field[M]. Beijing: Petroleum Industry Press, 2015.
    [19] 罗冰, 杨跃明, 罗文军, 等. 川中古隆起灯影组储层发育控制因素及展布[J]. 石油学报, 2015, 36(4): 416-426.

    LUO Bing, YANG Yueming, LUO Wenjun, et al. Controlling factors and distribution of reservoir development in Dengying Formation of paleo-uplift in central Sichuan Basin[J]. Acta Petrolei Sinica, 2015, 36(4): 416-426.
    [20] 文华国, 文龙, 丁一, 等. 四川盆地及周缘地区震旦系灯影组白云岩岩石类型及沉积相划分方案[J]. 天然气工业, 2024, 44 (7): 27-41.

    WEN Huaguo, WEN Long, DING Yi, et al. Rock types and sedimentary facies division scheme of the Sinian Dengying Formation dolomite in the Sichuan Basin and its periphery[J]. Natural Gas Industry, 2024, 44(7): 27-41.
    [21] 杨程宇, 于博, 张剑锋, 等. 四川盆地川中隆起安岳气田震旦系灯影组储层差异性成岩演化[J]. 石油实验地质, 2025, 47(4): 754-766.

    YANG Chengyu, YU Bo, ZHANG Jianfeng, et al. Differential diagenetic evolution of Sinian Dengying Formation reservoirs in Anyue gas field, Central Sichuan Uplift, Sichuan Basin[J]. Petroleum Geology & Experiment, 2025, 47 (4): 754-766.
    [22] ZHOU Zheng, WANG Xingzhi, YIN Ge, et al. Characteristics and genesis of the (Sinian) Dengying Formation reservoir in Central Sichuan, China[J]. Journal of Natural Gas Science and Engineering, 2016, 29: 311-321. doi: 10.1016/j.jngse.2015.12.005
    [23] 李启桂, 李克胜, 周卓铸, 等. 四川盆地桐湾不整合面古地貌特征与岩溶分布预测[J]. 石油与天然气地质, 2013, 34(4): 516-521.

    LI Qigui, LI Kesheng, ZHOU Zhuozhu, et al. Palaeogeomorphology and karst distribution of Tongwan unconformity in Sichuan Basin[J]. Oil & Gas Geology, 2013, 34(4): 516-521.
    [24] 王俊杰, 胡勇, 刘义成, 等. 碳酸盐岩储层多尺度孔洞缝的识别与表征: 以川西北双鱼石构造中二叠统栖霞组白云岩储层为例[J]. 天然气工业, 2020, 40(3): 48-57.

    WANG Junjie, HU Yong, LIU Yicheng, et al. Identification and characterization of multi-scale pores, vugs and fractures in carbonate reservoirs: a case study of the Middle Permian Qixia dolomite reservoirs in the Shuangyushi structure of the northwestern Sichuan Basin[J]. Natural Gas Industry, 2020, 40(3): 48-57.
    [25] 屈海洲, 郭新宇, 徐伟, 等. 碳酸盐岩微孔隙的分类、成因及对岩石物理性质的影响[J]. 石油与天然气地质, 2023, 44(5): 1102-1117.

    QU Haizhou, GUO Xinyu, XU Wei, et al. Classification and origin of micropores in carbonates and their effects on physical properties of rocks[J]. Oil & Gas Geology, 2023, 44(5): 1102-1117.
    [26] 宋金民, 刘树根, 李智武, 等. 四川盆地上震旦统灯影组微生物碳酸盐岩储层特征与主控因素[J]. 石油与天然气地质, 2017, 38(4): 741-752.

    SONG Jinmin, LIU Shugen, LI Zhiwu, et al. Characteristics and controlling factors of microbial carbonate reservoirs in the Upper Sinian Dengying Formation in the Sichuan Basin, China[J]. Oil & Gas Geology, 2017, 38(4): 741-752.
    [27] 徐哲航, 兰才俊, 杨伟强, 等. 四川盆地震旦系灯影组微生物丘沉积演化特征[J]. 大庆石油地质与开发, 2018, 37(2): 15-25.

    XU Zhehang, LAN Caijun, YANG Weiqiang, et al. Sedimentary and evolutionary characteristics of Sinian Dengying-Formation microbial mound in Sichuan Basin[J]. Petroleum Geology & Oilfield Development in Daqing, 2018, 37(2): 15-25.
    [28] 王文之, 杨跃明, 文龙, 等. 微生物碳酸盐岩沉积特征研究: 以四川盆地高磨地区灯影组为例[J]. 中国地质, 2016, 43(1): 306-318.

    WANG Wenzhi, YANG Yueming, WEN Long, et al. A study of sedimentary characteristics of microbial carbonate: a case study of the Sinian Dengying Formation in Gaomo area, Sichuan basin[J]. Geology in China, 2016, 43(1): 306-318.
    [29] 包洪平, 杨承运. 碳酸盐岩微相分析及其在岩相古地理研究中的意义[J]. 岩相古地理, 1999, 19(6): 59-64.

    BAO Hongping, YANG Chengyun. The carbonate microfacies analysis and its applications to sedimentary facies and palaeogeographic research[J]. Sedimentary Facies and Palaeogeography, 1999, 19(6): 59-64.
    [30] 张本健, 钟原, 周刚, 等. 四川盆地中部蓬莱地区灯二段沉积微相演化及气藏综合评价[J]. 海相油气地质, 2023, 28(1): 1-10.

    ZHANG Benjian, ZHONG Yuan, ZHOU Gang, et al. Sedimentary microfacies evolution and comprehensive evaluation of gas reservoir of the Dengying Member 2 in Penglai area, central Sichuan Basin [J]. Marine Origin Petroleum Geology, 2023, 28(1): 1-10.
    [31] 郭旭升, 胡东风, 段金宝, 等. 四川盆地北部宁强胡家坝灯影组四段岩石特征及沉积环境分析[J]. 石油实验地质, 2018, 40(6): 749-756.

    GUO Xusheng, HU Dongfeng, DUAN Jinbao, et al. Rock features and sedimentary environment of the fourth member of Dengying Formation in Hujiaba section of Ningqiang, northern Sichuan Basin[J]. Petroleum Geology & Experiment, 2018, 40(6): 749-756.
    [32] 任佳鑫, 宋金民, 刘树根, 等. 四川盆地灯影组二段微生物丘滩体结构类型与沉积模式[J]. 石油学报, 2023, 44(2): 312-328.

    REN Jiaxin, SONG Jinmin, LIU Shugen, et al. Framework and sedimentary model of microbial mound-bank complex in Member 2 of Dengying Formation, Sichuan Basin[J]. Acta Petrolei Sinica, 2023, 44(2): 312-328.
    [33] 王雪婷, 张云峰, 刘倩虞, 等. 四川盆地蓬莱气区震旦系灯影组四段微生物丘结构类型与沉积演化[J]. 海相油气地质, 2024, 29(3): 247-256.

    WANG Xueting, ZHANG Yunfeng, LlU Oianyu, et al. Types and sedimentary evolution of microbial mounds of the fourth member of Sinian Dengying Formation in the Penglai gas field, Sichuan Basin, Southwest China[J]. Marine Origin Petroleum Geology, 2024, 29(3): 247-256.
    [34] 张宇慧,朱正平,罗文军,等.四川盆地高石梯地区震旦系灯影组四段微生物碳酸盐岩微相组合发育特征与储层主控因素分析[J].现代地质,2023,37(5):1282-1292.

    ZHANG Yuhui,ZHU Zhengping,LUO Wenjun,et al.Development Characteristics and reservoir controlling factors of microbial carbonate microfacies longitudinal assemblage in the Dengying Formation(the 4th member) of Sinian System in Gaoshiti area,Sichuan Basin[J].Geoscience,2023,37(5):1282-1292.
  • 加载中
图(7) / 表(2)
计量
  • 文章访问数:  162
  • HTML全文浏览量:  85
  • PDF下载量:  29
  • 被引次数: 0
出版历程
  • 收稿日期:  2024-12-31
  • 修回日期:  2025-07-20
  • 刊出日期:  2025-09-28

目录

    /

    返回文章
    返回